由于样品照射产生的问题,40Ar/39Ar法难以测定黏土类细粒矿物(伊利石、蒙脱石、绿帘石、氧化物、地外行星物质、卤水矿物等)、高铁类矿物(黄铁矿、磁铁矿等),严重制约了40Ar/39Ar法在沉积地层、金属成矿、油气成藏、风化历史、卤水成矿、洋底锰结核、月球样品、活断层历史等领域的年代学研究;而大样量分析的传统K-Ar法难以应用等时线技术,从而不能判断年龄的可靠性,不能从事细微化样品分析。
针对以上问题,中科院地质地球所40Ar/39Ar年代学实验室王非研究员等,与法国科研中心合作,研发出一种新的Ar定年法——激光无稀释剂K-Ar法,并首次提出了K-Ar反等时线概念。
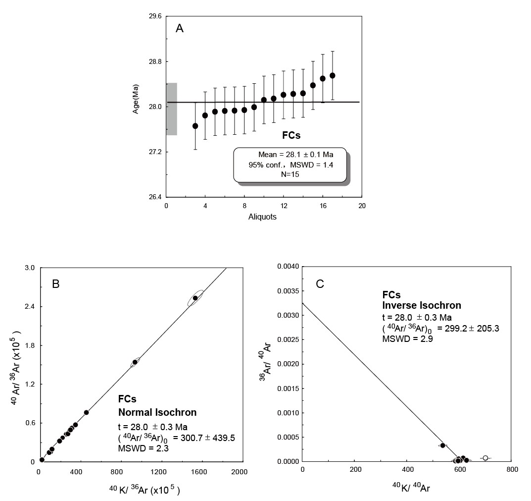
新方法克服了40Ar/39Ar和传统K-Ar法的缺陷:不用中子照射、不用稀释剂、激光微量样品分析、使用反等时线技术,可以高精度准确测定上述矿物的年龄,进行相关领域的年代学研究。该方法在其他准确定年方面(如火山岩定年),也可以有效替代40Ar/39Ar法,同时给出高精度表面年龄和反等时线年龄(图1)。

图1 激光无稀释剂K-Ar法测定国际标准样品FCs (表面年龄和等时线年龄, 参考值为28.1±0.1 Ma)
研究成果发表于Rapid Communications in Mass Spectrometry。(Wang F, Shi W, Guillou H, et al. A new unspiked K‐Ar dating approach using laser fusion on microsamples[J]. Rapid Communications in Mass Spectrometry, 2019, 33(6): 587-599. DOI: 10.1002/rcm.8385) (原文链接)