我国是一个多山且地震频发的国家,地震诱发的边坡地质灾害在地震次生灾害中最为常见且破坏力最强。众多现场监测和试验结果表明,边坡顶部的地震动会出现明显的放大现象,这种地形效应引起的动力响应放大会使坡顶遭受地震的破坏程度远大于坡脚,是造成边坡失稳的重要原因。前人发现边坡的地震放大效应具有明显的频率依赖性,但是激振频率如何控制边坡的地震动放大模式尚不可知。当下我国有大量的重大工程位于构造活跃区,节理状结构边坡分布广泛,该类边坡受到结构面切割,在地震作用下极易发生块体崩落和整体滑移,威胁人们生命财产安全,探究该类边坡的地震响应规律,对于地震多发区的工程设计和防灾减灾意义重大。
中国科学院地质与地球物理研究所页岩气与地质工程院重点实验室祁生文研究员率领团队开展了岩质边坡大型振动台试验,通过振动台实验结果校核了三维块体离散元边坡数值模型,并以此为基础,通过P32(Volumetric Fracture Intensity)控制边坡的节理密度,建立了一系列含有三组典型结构面的三维节理状结构边坡(图1),精细模拟了节理状结构边坡在不同频率地震波激振下的坡表动力响应。

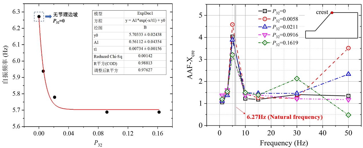
图1 P32控制的不同节理密度的节理状结构边坡
研究结果表明,节理状结构边坡的自振频率随着节理密度的增加而降低,其变化规律符合单指数衰减幂函数(图2左)。即在边坡节理密度较小时,随着节理密度的增加,边坡自振频率经历了快速的下降;当节理密度增加到一定程度时,边坡的自振频率趋于稳定,基本不再随着节理密度的增加而变化。
此外,当激励频率f接近边坡的自振频率fn时,坡面动力响应越强。且坡顶的地震加速度放大系数受激振频率的显著控制,当激励频率接近边坡的自振频率时,其明显增大(图2右)。

图2 (左)边坡自振频率随节理密度变化拟合曲线;(右)激振频率对不同节理密度边坡的坡肩加速度放大系数的影响
模拟结果显示,节理状结构边坡存在两种不同的坡表动力放大模式,表现为当f ≤ fn时,边坡表面的加速度放大系数随高程的增加而单调放大(图3a-图3c);而当f>fn时,边坡表面的加速度放大系数随高程增加呈现波动放大的特征(图3d-图3g)。该结果与Qi et al.(2003, 2022)和Qi(2006)提出的“高边坡动力响应和低边坡动力响应形式”相吻合,该研究则进一步指出两种特征放大模式的临界激振频率即为边坡的一阶自振频率。

图3 不同激振频率下坡表加速度放大系数随高程的变化趋势
该研究结合物理模型试验与数值分析,给出了岩质边坡自振频率与节理密度的关系,并指出激振频率与边坡自振频率之间的关系变化会使边坡坡表产生两种不同特征的地震放大模式,且两种特征放大模式的临界激振频率即为边坡的一阶自振频率。研究结果深化了对岩质边坡地震响应的认识,可以为后续研究提供理论依据和新的视角。
研究成果发表于工程地质学领域国际权威学术期刊EG(台大平,祁生文*,郑博文,罗光明,贺建先,郭松峰,邹宇,王赞. Effect of excitation frequency and joint density on the dynamic amplification effect of slope surface on jointed rock slopes [J]. Engineering Geology, 2024, DOI: 10.1016/j.enggeo.2023.107385)。研究得到国家自然科学杰出青年基金项目(41825018)和第二次青藏高原综合科学考察研究(QZKK20190904)等项目资助。
附件: