月球作为地球唯一的卫星,其起源和早期演化一直是行星科学研究的核心问题之一。目前,学界普遍认为月球形成于太阳系早期一次巨型撞击事件,然而这一过程发生的时间仍存在争议。前人基于不同放射性同位素体系,从不同角度对月球的形成时间进行了约束,但所得结果范围较宽,大致介于 45.4 亿年至 43.5 亿年前之间。造成这一分歧的一个重要原因在于,目前尚缺乏能够直接记录月球形成过程的样品,因此只能依赖不同同位素体系所限定的分异事件年龄,对月球形成时间作间接约束。然而,不同同位素体系对早期事件的记录存在多解性,同时月球样品在后期演化过程中又常受到撞击改造等影响,导致早期信息难以完整保存。
针对这一问题,中国科学院地质与地球物理研究所的科研团队选择 U-Pb 同位素体系和月海玄武岩作为研究对象。与其他放射性同位素定年体系相比,U-Pb 体系具有适宜的半衰期,与此同时,月海玄武岩记录了月球很长的演化历史。他们的源区主要为镁铁质堆晶层,位于月幔深度,基本不受地表撞击事件的直接干扰,从而保留了更原始的源区同位素记录。
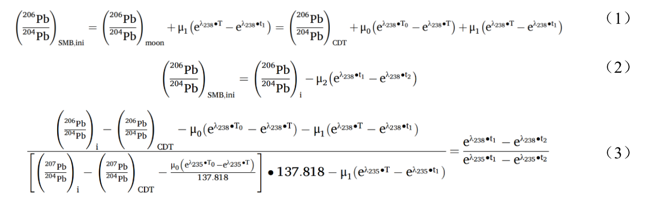
为了将同位素体系所约束的分异事件年龄纳入月球整体形成时间尺度的讨论中,需要引入一个合理的地质演化模型。月球岩浆洋模型很好地解释了月球的早期演化过程:月球形成初期曾存在全球性岩浆洋,随着其冷却结晶,密度较大的镁铁质矿物下沉形成原始月幔,并作为后期月海玄武岩的源区。由于岩浆洋在早期处于高温、充分熔融且混合均匀的状态,因此可将其视为一个同位素达到平衡的储库。如果月幔源区较快结晶,则对于长半衰期体系而言,其同位素体系可以视为达到了平衡,这在Sm-Nd体系的研究中得到了印证。
在这一情景下,不同月海玄武岩源区均是岩浆洋阶段演化而来,且具有相同的初始 Pb 同位素组成(PbSMB)。这一初始 Pb 同位素组成不仅记录了从月球形成到月海玄武岩源区形成这一阶段放射成因 Pb 的累积(图1第一阶段),同时也是后续月海玄武岩源区继续演化的起点(图1第二阶段)。因此,通过对玄武岩源区形成时 Pb比值的计算,可以建立月海玄武岩样品与月球早期演化之间的联系,进而利用玄武岩样品的 Pb 同位素数据反演月球的形成时间。

图1 月海玄武岩初始Pb同位素两阶段演化模型示意图
公式(1)描述了第一阶段 238U-206Pb 同位素体系的演化过程,公式(2)描述了第二阶段演化过程。同理可以写出235U-207Pb同位素体系的演化过程。因为两个体系具有相同的源区U/Pb比值(µ2),将µ2消去后两个同位素体系的方程联立,即可得到月海玄武岩 Pb 同位素的全阶段演化方程(公式3)。该方程包含三个未知量,分别为月球形成时间 T、玄武岩源区形成时间 t1,以及岩浆洋的 U/Pb 比值(µ1)。若获得至少三个月海玄武岩样品的初始 Pb 同位素组成及其结晶年龄,理论上即可对这三个未知数进行联合求解。

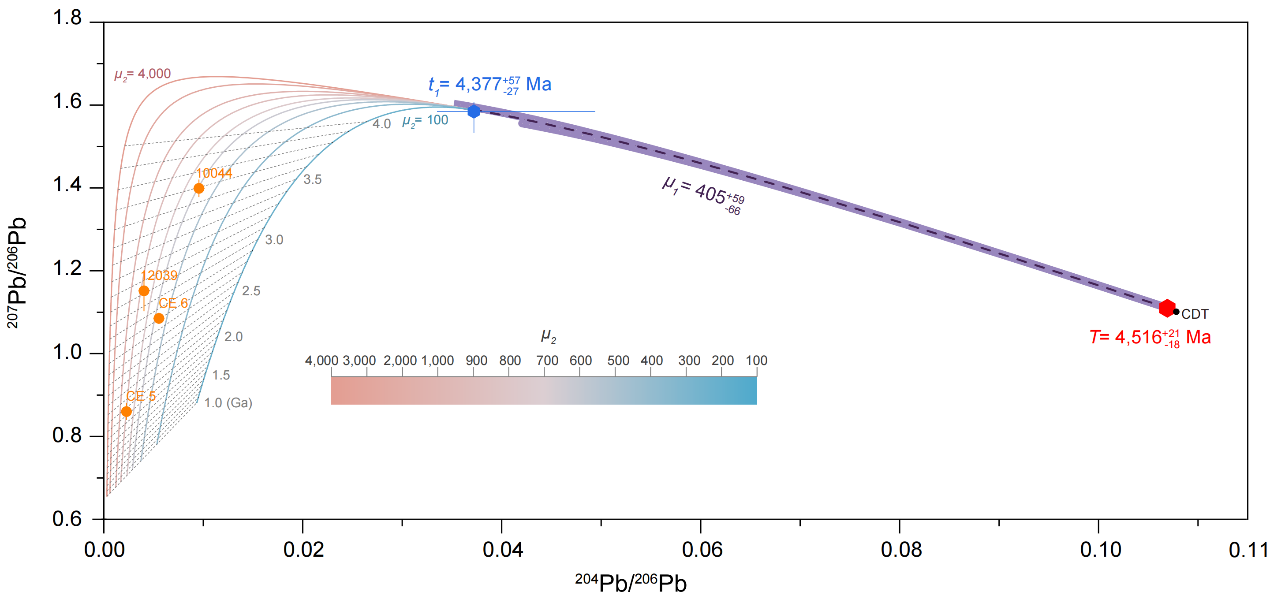
目前,已有约40个月球玄武岩样品报道了 Pb-Pb 等时线年龄数据。以往研究通常将样品中 207Pb/206Pb比值最高的数据点作为初始 Pb 同位素组成,但在多数情况下,这一最高比值点并不一定真正代表体系的初始 Pb。为更准确地限定初始 Pb 组成,研究团队提出以是否分析了体系中 U 含量接近于零的矿物作为判别标准。因为这类矿物在后期几乎不再积累放射成因 Pb,更有可能保留样品的初始 Pb 同位素信息。
在已报道的约40个样品中,仅有4个样品满足这一条件,分别为月球正面两个低钛玄武岩样品——阿波罗12号 12039 样品和嫦娥五号玄武岩、一个高钛玄武岩样品——阿波罗11号 10044 样品,以及来自月球背面的嫦娥六号样品。研究选取这4个样品作为模型求解的已知量,结合蒙特卡洛模拟开展误差传递分析。结果表明,月球形成时间最可能为 4516 +21/-18 Ma;月海玄武岩源区达到铅同位素均一化的时间为 4377 +57/-27 Ma,岩浆洋µ1为405+59/-66(图2)。

图2 月球的阶段Pb演化线
两阶段 Pb 演化模型建立在一个关键假设之上,即月海玄武岩源区形成Pb 同位素已达到平衡。考虑到高钛玄武岩可能与低钛玄武岩具有不同的成因背景,研究团队分别测试了包含和不包含高钛玄武岩样品的不同组合。结果显示,两组样品均可得到相同的结果。仅使用月球正面样品进行计算时,所得结果也与包含月球背面样品时一致。这表明,尽管月球内部在早期可能经历过月幔翻转等复杂的演化过程,不同月海玄武岩源区在分异之前仍处于 Pb 同位素均一化状态,同时也说明正背面月幔在 Pb 同位素演化上不存在明显二分性。
值得注意的是,月球形成时与月海玄武岩源区 Pb 同位素均一化时刻之间存在约1.4 亿年的间隔,表面上指示原始月球岩浆洋长期保持了高温同位素平衡状态,然而近期一些老于44亿年的月球锆石和岩石的发现,指示岩浆洋在这1.4亿年之内具有复杂的热演化历史。这意味着,研究获得的 t1更可能代表月幔源区重新达到同位素均一化状态的时间节点。近期研究认为潮汐作用造成了月球再次大规模热事件,从而导致了月幔同位素再平衡,可以形象比拟为二次岩浆洋。
除约束月球形成时间外,该研究还提出了一种新的应用思路:对于缺少锆石等传统定年矿物的月海玄武岩碎屑样品,只要能够较好地限定其初始铅同位素组成,就可以利用该模型推算其形成年龄。这为未来月球样品中更多细小玄武岩碎屑的年代学研究提供了定年新方法,也拓展了可开展年代学研究的月球样品范围。
研究成果发表于国际学术期刊Icarus(杨慕涵,张谦,Richard W. Carlson,王碧雯,欧阳东剑,李秋立*. The moon’s formation time recorded in lunar mare basalts [J]. Icarus, 2026,447, 116889. DOI: 10.1016/j.icarus.2025.116889.)。研究受国家自然科学基金(42225301, 42241105)、中国科学院地质与地球物理研究所重点部署项目(IGGCAS-202401)共同资助。

杨慕涵(博士生)
附件: